八种方法解一道二元无理式的最小值
八种方法解一道二元无理式的最小值
题目:已知x>0,y>0,2x+y=2 ,求x+√(x2+y2)的最小值。
解法1:代入消元+判别式法求最小值
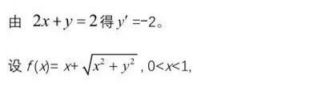
由x>0,y>0, 2x+y=2,得y=2-2x,则


解法3 待定系数法助力柯西不等式求最小值

解法4 三角换元+待定系数法+柯西不等式

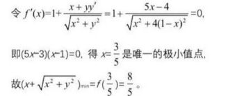
解法5:复合函数求导法求最小值


解法6 数形结合法 用角平分线的性质构造对称图形

如图,在平面直角坐标系, 设A (1, 0), B (0, 2),
P (x, y)是线段AB上的动点,设直线OB关于直线AB的对称线为直线BC,
由tan∠OBA=1/2,
知tan∠OBC=tan2∠OBA=4/3,
得C (8/3, 0), 知直线BC: 3x+4y-8=0,
设P在OB,BC上的垂足分别为D, E,
O在BC上的垂足为H,
则原式=|PD|+|OP|=|OP|+|PE|
≥|OH|=8/√(32+42)=8/5,
当O, P, H三点共线时, 等号成立,
故x+√(x2+y2)的最小值为8/5。
解法7 用将军饮马问题的方法求最小值
如图,在平面直角坐标系, 设A (1, 0), B (0, 2), P (x,y)是线段AB上的动点(A,B两点除外),满足2x+y=2,则x+√(x2+y2)=PM+PO.
作点O关于直线AB的对称点C,可求得点C的坐标为(8/5,4/5),过点C作y轴的垂线,垂足为D,交AB于点E,则PO=PC,EO=EC.
PM+PO=PM+PC≥CD=8/5,
当点P与点E重合时,等号成立。
故所求式子的最小值为8/5.

解法8 用物理光学性质求解
如图,在平面直角坐标系, 设A (1, 0), B (0, 2), P (x,y)是线段AB上的动点(A,B两点除外),满足2x+y=2,过点P作y轴的垂线,垂足为M,
则x+√(x2+y2)=PM+PO.
根据光在同一媒介里沿最短路径传播这一性质可知,从点O发出的光线射到直线AB发生反射后平行于x轴,这样的光线是存在的,且是唯一的。设平行于 x轴的反射光线与y轴相交于点M,由入射角等于反射角知,
∠1=∠2,又由MP//OB,得∠2=∠3,
所以∠1=∠3,所以OP=OB=1,即x2+y2=1,
又x+2y=2,联立解得x=3/5,
所以PM+PO=3/5+1=8/5.
故所求式子的最小值为8/5.

改编题1:已知x>0,y>0,x+y/3=1 ,
求x+√(x2+y2)的最小值。
改编题2:已知x>0,y>0,x/2+y/3=1 ,
求x+√(x2+y2)的最小值。
扫描二维码推送至手机访问。
特别声明:
本站属于公益性网站,纯粹个人原因(陪孩子学习便于查询和教授),网站部分内容收集于网络,仅供学生和老师参考、交流使用,请勿用作其他商业收费用途。
如果网站内容能给你带来提升,那便是我经营此网站的初衷。网站相关内容如有问题,请及时提出,我在此谢谢!
本站尊重原创并对原创者的文章表示肯定和感谢,如有侵权请联系删除!针对本站原创内容,本站也欢迎转载,如需转载请注明出处。