初中数学必背公式
初中数学必背公式
初中数学常用公式
1、绝对值计算

2、幂的运算性质

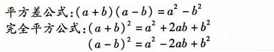
3、整式乘法公式

4、一元二次方程

5、不等式的性质

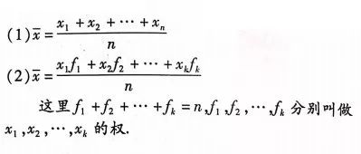
6、平均数

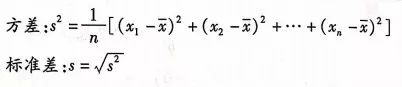
7、方差与标准差

8、三角形

9、比例的性质

10、三角函数

11、与圆有关公式

扫描二维码推送至手机访问。
特别声明:
本站属于公益性网站,纯粹个人原因(陪孩子学习便于查询和教授),网站部分内容收集于网络,仅供学生和老师参考、交流使用,请勿用作其他商业收费用途。
如果网站内容能给你带来提升,那便是我经营此网站的初衷。网站相关内容如有问题,请及时提出,我在此谢谢!
本站尊重原创并对原创者的文章表示肯定和感谢,如有侵权请联系删除!针对本站原创内容,本站也欢迎转载,如需转载请注明出处。