当前位置:首页 > 高中数学 > 不等式 > 正文内容

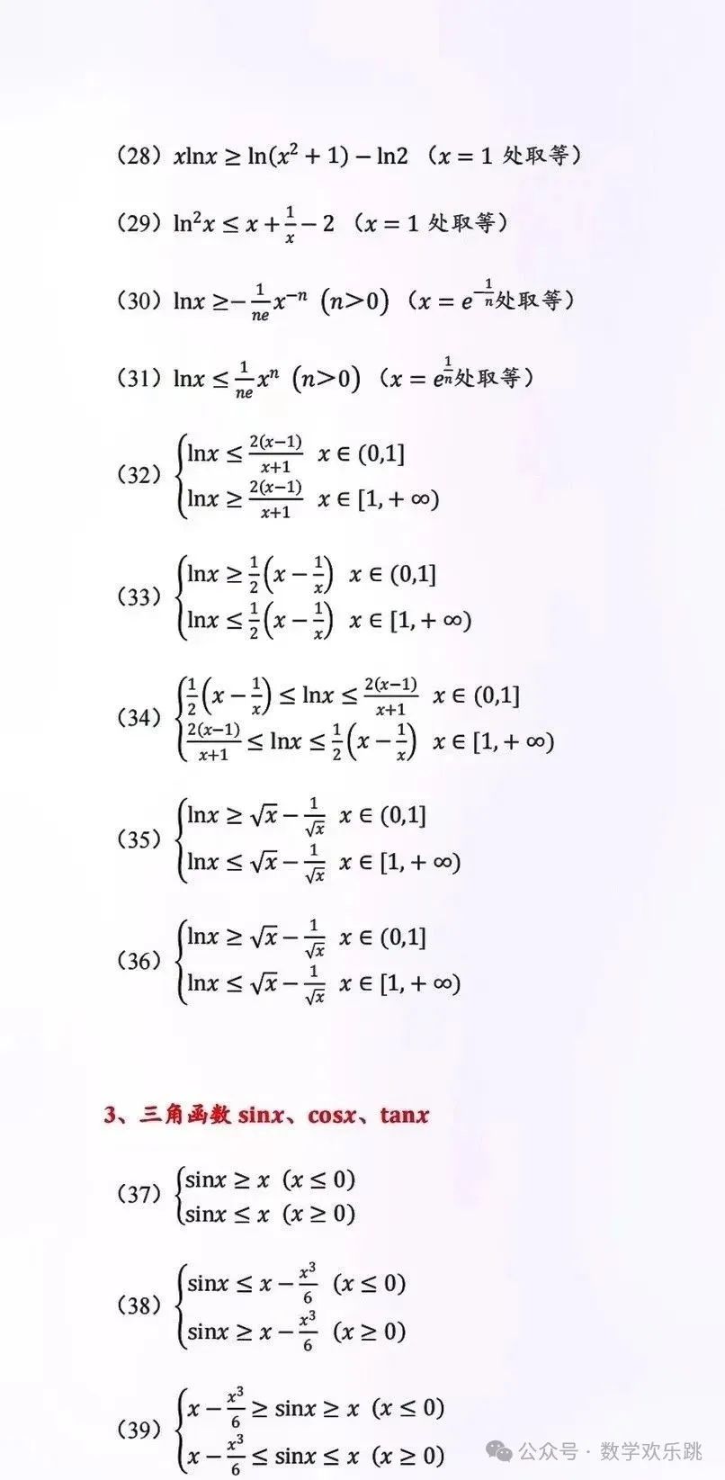
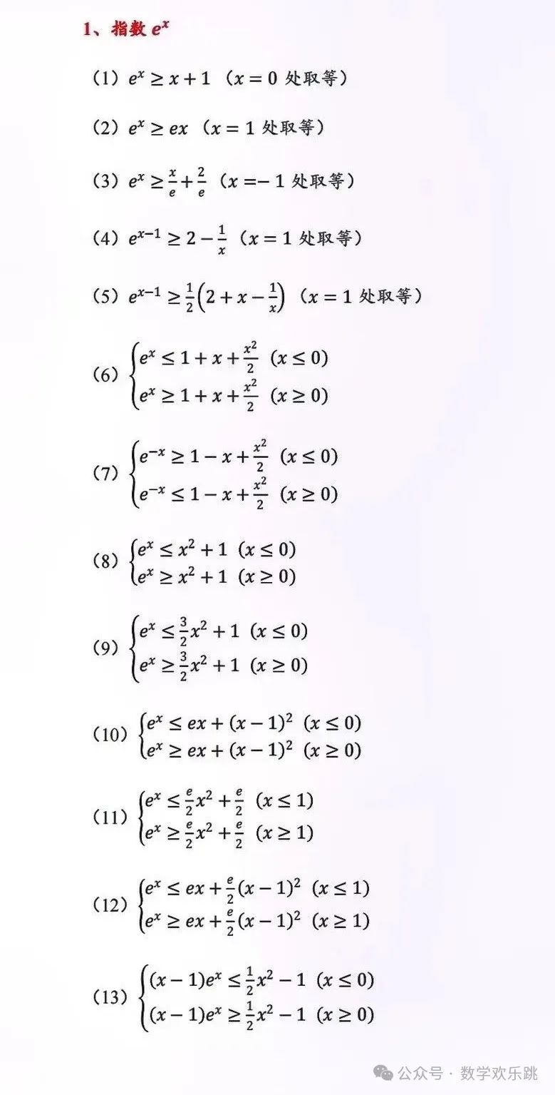
高中数学:不等式 - 不等式放缩

英才学习-阿江2年前 (2024-02-06)不等式1034

高中数学:不等式放缩














https://www.yc8.com.cn/wenzhang/202412/4791.html



扫描二维码推送至手机访问。

特别声明:

本站属于公益性网站,纯粹个人原因(陪孩子学习便于查询和教授),网站部分内容收集于网络,仅供学生和老师参考、交流使用,请勿用作其他商业收费用途

如果网站内容能给你带来提升,那便是我经营此网站的初衷。网站相关内容如有问题,请及时提出,我在此谢谢!

本站尊重原创并对原创者的文章表示肯定和感谢,如有侵权请联系删除!针对本站原创内容,本站也欢迎转载,如需转载请注明出处。

本文链接:https://www.yc8.com.cn/wenzhang/202402/3913.html

分享给朋友:

“高中数学:不等式 - 不等式放缩” 的相关文章

发表评论

访客

看不清,换一张

◎欢迎参与讨论,请在这里发表您的看法和观点。