高中数学:异面直线的距离的六种求法
高中数学:异面直线的距离的六种求法
已知正方体ABCD-A1B1C1D1的棱长为1,求异面直线A1D与AC的距离。
1.方法一
一、直接利用定义求解
如图1,取AD中点M,连MD1、MB分别交A1D、AC于E、F,连BD1,由平面几何知识,易证ME=1/3MD1,MF=1/3MB,MD1=MB,则BD1//EF。

由
,
得
⊥平面
,则
,同理AC⊥
,所以,EF⊥
,EF⊥AC,即EF为异面直线
与AC的距离,故有EF=
。
此法的关键是作出异面直线的公垂线段。
2.方法二
二、转化为线面距离求解
如图2,连
、
,则AC∥平面
。设AC、BD交于O,
、
交于
,连
,作OE⊥
于E,由
⊥平面
知
,故OE⊥平面
。

所以OE为异面直线
与AC的距离。
在
△
中,
,则
。
所以异面直线
与AC的距离为
。
此法是将线线距离问题转化为线面距离问题来解,合理、恰当地转化是解决问题的关键。
3方法三
三、转化为面面距离求解
如图3,连
、
、
、
、
,易知平面
,则异面直线
与AC的距离就是平面
与平面
的距离,易证
⊥
、
⊥平面
,且
被平面
和平面![]()
三等分,又
。

所以异面直线
与AC的距离为
。
此法是将线线距离问题转化为面面距离问题来解,巧妙的转化常能收到事半功倍的奇特效果。
4. 方法四
四、构造函数求解
如图4,在
上任取一点E,作EM⊥AD于M,再作MF⊥AC于F,连EF,则∠EMF=
。

设MD=
,则ME=
,AM
,在
中,∠FAM=
,则![]()
所以

,
当且仅当
时,EF取最小值
。
所以异面直线
与AC的距离为
。
选取恰当的自变量构造函数,即可利用函数的最小值求得异面直线间的距离。
5. 方法五
五、利用体积变换求解
如图5,连
、
、
,则
∥平面
,设异面直线
与AC的距离为
,则D到平面
的距离也为
。

易知
,
。
由
,
得
。
所以
,则
。
所以异面直线
与AC的距离为
。
此法是将异面直线的距离转化为锥体的高,然后利用体积公式求之。
6
方法六
六、利用向量求解
如图6,AB为异面直线
、
的公垂线段,
为直线AB的方向向量,E、F分别为直线
、
上的任意一点,则
。

证明:显然
=
,
,
。
所以
,
所以
,
所以
,
即
,
所以
。
把上述结论作为公式来用,即可巧妙地求出某些问题中的异面直线间的距离。

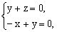
建立如图7所示的空间直角坐标系,易知
,
=(-1,1,0),
(-1,0,0)。
设异面直线
、AC的公垂线的方向向量为
,由
,
,得
![]()
解得
![]()
故可取
。
所以异面直线
与AC的距离为
。
此法是利用公式求解,具有不必作出公垂线段的特点,合理、恰当地建立空间直角坐标系,常能使问题变得简单易解。
扫描二维码推送至手机访问。
特别声明:
本站属于公益性网站,纯粹个人原因(陪孩子学习便于查询和教授),网站部分内容收集于网络,仅供学生和老师参考、交流使用,请勿用作其他商业收费用途。
如果网站内容能给你带来提升,那便是我经营此网站的初衷。网站相关内容如有问题,请及时提出,我在此谢谢!
本站尊重原创并对原创者的文章表示肯定和感谢,如有侵权请联系删除!针对本站原创内容,本站也欢迎转载,如需转载请注明出处。