当前位置:首页 > 数学 > 高中数学

调和点列与极点极线

英才学习-阿江2个月前 (03-16)高中数学295

调和点列与极点极线

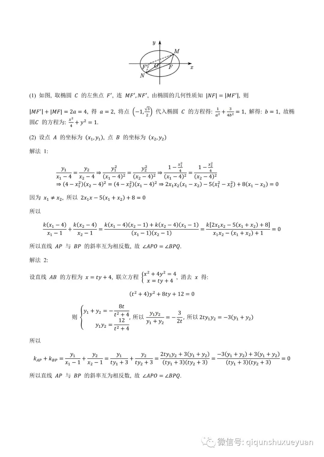
图片

图片

图片

图片

图片

图片

图片

图片

图片

图片

图片

图片

图片

图片

图片

图片

图片

图片

图片

图片

图片

图片

图片

图片

图片

扫描二维码推送至手机访问。

特别声明:

本站属于公益性网站,纯粹个人原因(陪孩子学习便于查询和教授),网站部分内容收集于网络,仅供学生和老师参考、交流使用,请勿用作其他商业收费用途

如果网站内容能给你带来提升,那便是我经营此网站的初衷。网站相关内容如有问题,请及时提出,我在此谢谢!

本站尊重原创并对原创者的文章表示肯定和感谢,如有侵权请联系删除!针对本站原创内容,本站也欢迎转载,如需转载请注明出处。

本文链接:https://www.yc8.com.cn/wenzhang/202603/5615.html

分享给朋友:

“调和点列与极点极线” 的相关文章

发表评论

访客

看不清,换一张

◎欢迎参与讨论,请在这里发表您的看法和观点。