利用导数证明不等式的常见题型
题型1
构造函数法
把不等式的证明转化为利用导数研究函数的单调性或求最值的问题,从而证明不等式,而如何根据不等式的结构特征构造一个可导函数是利用导数证明不等式的关键.

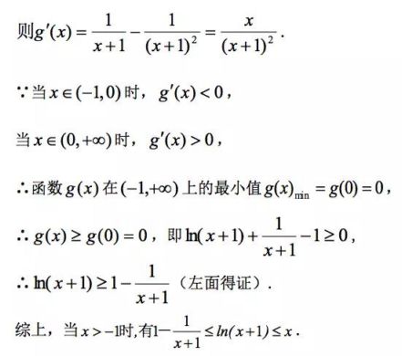
这四道题比较简单,证明过程略.概括而言,这四道题证明的过程分三个步骤:一是构造函数;二是对函数求导,判断函数的单调性;三是求此函数的最值,得出结论.


【启示】证明分三个步骤:一是构造函数;二是对函数求导,判断函数的单调性;三是求此函数的最值,得出结论。
题型2
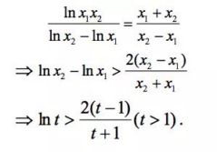
通过对函数的变形,利用分析法,证明不等式



【启示】解答第一问用的是分离参数法,解答第二问用的是分析法、构造函数,对函数的变形能力要求较高,大家应记住下面的变形:

题型3
求最值解决任意、存在性变量问题
解决此类问题,关键是将问题转化为求函数的最值问题,常见的有下面四种形式:



题型4
分拆成两个函数研究


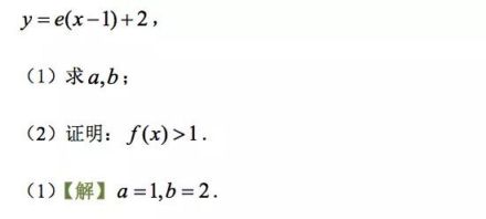
【注意】(2)如果按题型一的方法构造函数求导,会发现做不下去,只好半途而废,所以我们在做题时需要及时调整思路,改变思考方向.


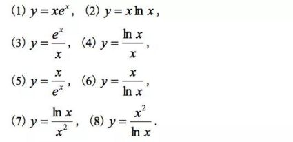
【启示】掌握下列八个函数的图像和性质,对我们解决不等式的证明问题很有帮助,这八个函数分别为

要求会画它们的图像,以后见到这种类型的函数,就能想到它们的性质.
题型5
设而不求
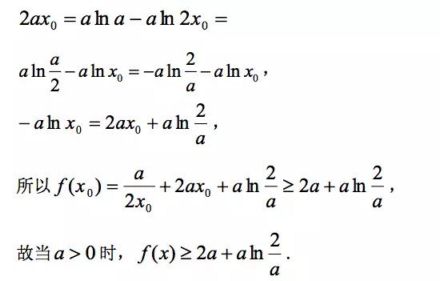
当函数的极值点(最值点)不确定时,可以先设出来,只设不解,把极值点代入,求出最值的表达式而证明.



【启示】设而不求,整体代换是一种常用的方法,在解析几何中体现很多.在本例第(2)问中,只设出了零点而没有求出零点,这是一种非常好的方法,同学们一定要认真体会,灵活应用.
题型6
估值法
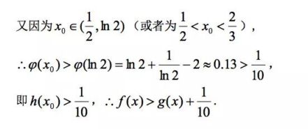
极值点不确定,先把极值点设出来,再估计极值点的取值范围(限制得越小越好),从而证明不等式.



题型7
利用图象的特点,证明不等式


题型8
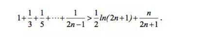
证明数列不等式




题型9
利用放缩法证明不等式

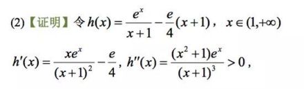
【注意】在解决第(2)问时,用构造函数法证不出来,又试着分开两个函数仍然不行,正当我一筹莫展时,忽然想到与第一问题的切线联系,如果左边的函数的图像在切线的上方,右边函数的图像在切线的下方,这样问题不就得证了吗?心里非常高兴,马上付诸行动。



扫描二维码推送至手机访问。
特别声明:
本站属于公益性网站,纯粹个人原因(陪孩子学习便于查询和教授),网站部分内容收集于网络,仅供学生和老师参考、交流使用,请勿用作其他商业收费用途。
如果网站内容能给你带来提升,那便是我经营此网站的初衷。网站相关内容如有问题,请及时提出,我在此谢谢!
本站尊重原创并对原创者的文章表示肯定和感谢,如有侵权请联系删除!针对本站原创内容,本站也欢迎转载,如需转载请注明出处。