糖水不等式的证明方法
糖水不等式的证明方法
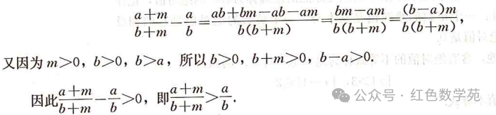
法一:做差法

法二:做商法

法三:分析法

法四:综合法

法五:反证法

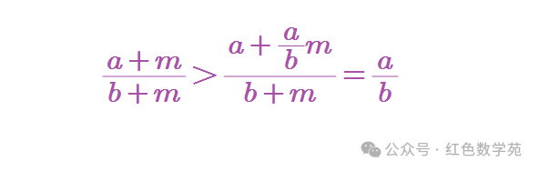
法六:放缩1

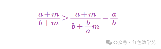
法七:放缩2

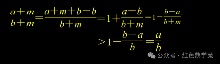
法八:放缩3

法九:放缩4

法十:构造函数

法十一:换元法1

法十二:换元法2

法十三:换元法3

法十四:几何1

法十五:几何2

法十六:几何3

法十七:几何4

法十八:几何5


法十九:几何6

法二十:几何7

法二十一:几何8

法二十二:几何9


法二十三:几何9

利用图可以推广

法二十四:反表示法

法二十五:定比分点法

法二十六:积分法

应用举例1

应用举例2

应用举例3

扫描二维码推送至手机访问。
特别声明:
本站属于公益性网站,纯粹个人原因(陪孩子学习便于查询和教授),网站部分内容收集于网络,仅供学生和老师参考、交流使用,请勿用作其他商业收费用途。
如果网站内容能给你带来提升,那便是我经营此网站的初衷。网站相关内容如有问题,请及时提出,我在此谢谢!
本站尊重原创并对原创者的文章表示肯定和感谢,如有侵权请联系删除!针对本站原创内容,本站也欢迎转载,如需转载请注明出处。